本文发表于《科学通报》“亮点述评”栏目,由成会明院士撰写,介绍中国科学院宁波材料所黄庆研究员团队、四川大学林紫锋教授、法国图卢兹大学Patrice Simon教授等近期发表于Nature Materials的研究工作。
MXene,即二维过渡金属碳化物/氮化物/碳氮化物,是通过选择性刻蚀三元层状结构(P63/mmc)Mn+1AXn相前驱体中的A层原子所得到的新型二维材料,其中M代表过渡金属元素(钛、钒、铌等),A主要是第III~IV主族元素(铝、硅等),X是碳和/或氮。
MXene材料凭借其独特的二维层状结构、高导电性(>10000 S/cm)和氧化还原活性,在电化学储能等诸多功能应用领域备受关注。例如,MXene材料具有优异的电容性能,在水系酸性电解液中的赝电容容量可达370 F/g及1500 F/cm3[1],但MXene在水系电解液中的电压窗口小,故其能量密度不高。因此,为获得高能量、高功率的MXene基储能器件,MXene材料在非水系电解液中的有效应用甚为重要。
自2011年首次报道Ti3C2这一MXene材料之后[2],二维MXene材料的制备主要采用含氟酸性溶液,如氢氟酸水溶液、氟化锂和盐酸的混合物或氟化氢铵溶液等,选择性刻蚀铝系MAX相的Al原子层。由于含氟酸性溶液较为危险,科研人员又提出了水热法、电化学刻蚀等制备方法,被成功应用于MAX相的刻蚀中。MAX相材料是一个庞大的三元层状化合物家族,已报道的种类就有84种(仅考虑含三组元,不含固溶型)[3],然而被用于制备MXene的前驱体主要为铝系MAX相(仅占三元MAX相的20%左右),其中最常用的为Ti3AlC2。因此,发展能将MAX相家族中其它80%左右的成员刻蚀为MXene材料的技术也甚为重要。
针对上述两个挑战,中国科学院宁波材料所黄庆研究员团队联合四川大学林紫锋教授、法国图卢兹大学Patrice Simon教授等团队开展了探索。黄庆研究员团队前期发现,氯化锌路易斯酸熔融盐可将铝系MAX相中的铝原子层替换成锌原子层,获得了含锌MAX相;而且高浓度氯化锌熔融盐可进一步将锌原子层刻蚀得到MXene材料[4]。在此基础上,该联合团队提出了具有普适性的路易斯酸熔融盐制备MXene材料的策略,并对其电化学储锂性能进行了深入研究[5]。
他们研究发现,具有较高氧化还原电位的路易斯酸阳离子可有效氧化刻蚀MAX相中氧化还原电位较低的A层原子。因此,可以选择合适的路易斯酸对众多的MAX相(如Al、Si、Zn、Ga等多种MAX相,图1)进行刻蚀而得到相应的MXene材料,展示了路易斯酸熔融盐刻蚀法的普适性。
图1 路易斯酸刻蚀MAX相的普适性。(a) 通过吉布斯自由能变化计算700°C下多种路易斯酸阳离子的还原电位及MAX相A层原子的氧化电位。星标表示已经实验验证可以制备的MXene. (b~g) 多种路易斯酸刻蚀制备的MXene材料的扫描电子显微镜(SEM)图,标尺为2 μm
常规刻蚀方法制备的MXene材料的官能团以氧、氟及羟基为主,而路易斯酸熔融盐法所制得MXene材料的表面官能团类型受路易斯酸阴离子影响较大,如含氯阴离子的路易斯酸制得的MXene材料的表面官能团以氯和氧为主。
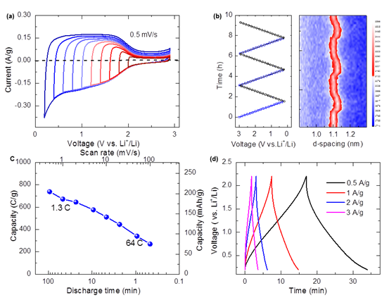
电化学研究结果表明,路易斯酸熔融盐法制备的Ti3C2Tx-MXene在Li-PF6有机电解液中的储锂行为与Nb2O5等赝电容嵌锂材料类似,在循环伏安曲线中未见显著的氧化还原峰,且具有较好的对称性(图2)。
图2 Ti3C2Tx MXene 材料的电化学性能。(a) 扫描速度为0.5 mV/s下不同截止电位的循环伏安曲线(CVs);(b) 电化学循环过程中的原位X-射线衍射(XRD)表征;(c) 倍率性能;(d) 不同电流密度(0.5~3 A/g)下的恒流充放电曲线
原位电化学X射线衍射表明该MXene电极材料在充放电过程中不存在相变反应,而是以锂离子在MXene片层嵌入-脱出为主,因而表现出优异的倍率性能,在13 C的倍率下可获得近70%的容量。而且该MXene电极在循环2400次后的容量保持率达90%,具有优异的循环稳定性。此外,与抽滤成膜制备MXene电极不同,该工作中MXene电极的制备采用MXene粉末与导电剂、黏结剂混合而成,与商用电池电极的制备流程相同。
该工作所提出的路易斯酸熔融盐法制备策略有望大大拓宽MXene前驱体MAX相的选择范围,而且所得MXene材料作为储能材料具有高容量、高倍率特性,将推动该材料在高能量密度、高功率密度电化学储能器件中的潜在应用。
[1] Lukatskaya M R, Kota S, Lin Z, et al. Ultra-high-rate pseudocapacitive energy storage in two-dimensional transition metal carbides. Nat Energy, 2017, 2: 17105
[2] Naguib M, Kurtoglu M, Presser V, et al. Two-dimensional nanocrystals produced by exfoliation of Ti3AlC2. Adv Mater, 2011, 23: 4248–4253
[3] Sokol M, Natu V, Kota S, et al. On the chemical diversity of the MAX phases. Trends Chem, 2019, 1: 210-223
[4] Li M, Lu J, Luo K, et al. Element replacement approach by reaction with Lewis acidic molten salts to synthesize nanolaminated MAX phases and MXenes. J Am Chem Soc, 2019, 141: 4730–4737
[5] Li Y, Shao H, Lin Z, et al. A general Lewis acidic etching route for preparing MXenes with enhanced electrochemical performance in non-aqueous electrolyte. Nat Mater, 2020, doi.org/10.1038/s41563-020-0657-0
欢迎转发朋友圈
转载、投稿请联系
csb@scichina.org