|
拓扑物态作为一种新的量子物态,包括拓扑绝缘体、拓扑半金属、及拓扑超导体等,是过去十多年来凝聚态物理领域最具吸引力的研究热点之一,拓扑物态的能带结构在倒空间具有拓扑结构,且其宏观物理性质如电输运、热输运等均由电子轨道波函数的拓扑性质决定。这类材料具有独特的量子性质,以拓扑绝缘体为例,它表现出与一般绝缘体完全不一样的量子现象与物性,如拓扑保护的表面态、反弱局域化、量子自旋/反常霍尔效应等。因为拓扑绝缘体的拓扑特性,在自旋电子学、低功耗电子器件以及量子计算机等领域有着广泛的应用前景。由于拓扑对称性保护,拓扑材料的拓扑量子数对局部缺陷和扰动相当不敏感,这就为拓扑材料在量子技术的可能应用提供了无与伦比的先天优势,也正因为如此,越来越受到研究者的高度关注和广泛研究。自从拓扑能带理论提出以后,在现实世界中探索新的拓扑材料就成为一个极具价值的工作。
由于热涨落和量子涨落效应随维度的降低而显著增加,具有低维结构的材料常常具有许多新颖的物理特性和应用前景。近年来发现的大部分拓扑材料都具有二维或三维的结构特征,而具有准一维结构的拓扑材料比较少见。BOB彩票
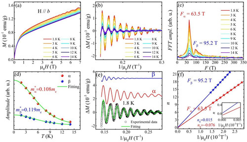
量子功能材料团队何少龙研究员课题组近期在低维三元碲化物的奇异量子性质研究中发现了一种新的拓扑半金属材料TaPtTe5。课题组对TaPtTe5的电输运、Hall和磁阻进行了细致测量和分析,并利用低温磁化率测量研究了该材料的de Haas-van Alphen(dHvA)量子震荡,量子震荡和数据分析结果如图1所示,提取到的两个震荡频率都对应非平庸的贝里相位,第一性原理的能带结构如图2所示,计算的拓扑指数也证实了它是一种弱拓扑的狄拉克半金属材料,该材料是课题组成员继TaPdTe5(Phys. Rev. B,2020,102,075141)和TaNiTe5(J. Phys. Chem. Lett.,2020,11,1172)等低维拓扑半金属材料之后在该体系中发现的又一个新拓扑材料,考虑到这类材料的层状低维结构和稳定性,它的发现为拓扑材料的研究和可能应用提供了又一个理想平台。
近期该工作以“Anisotropic transport and de Haas-van Alphen oscillations inquasi-one-dimensionalTaPtTe5”为题发表在Phys. Rev.B,2020,103, 125150(DOI:10.1103/PhysRevB.103.125150)。该工作得到国家重点研发计划(2017YFA0303002)、国家自然科学基金(11674367、11974364、U2032207、11974061)、浙江省自然科学基金(LY19A040002)等的支持。

图1 TaPtTe5的dHvA量子震荡

图2 TaPtTe5的能带结构
(纳米实验室 焦文鹤)
|